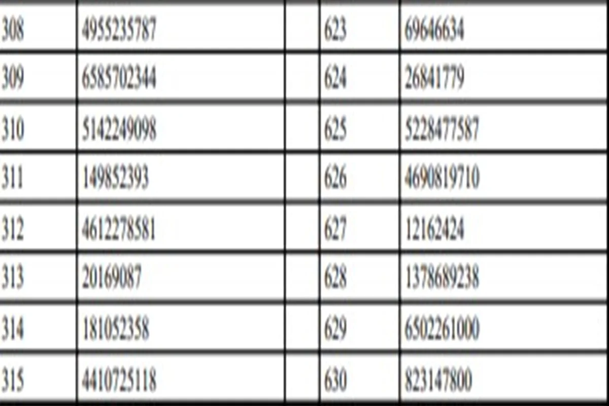
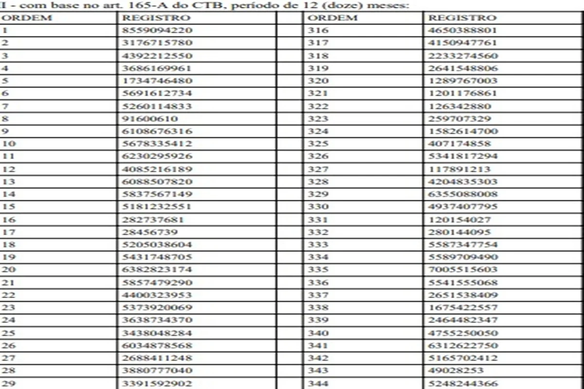
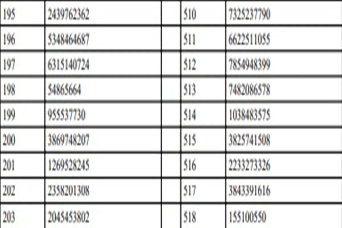
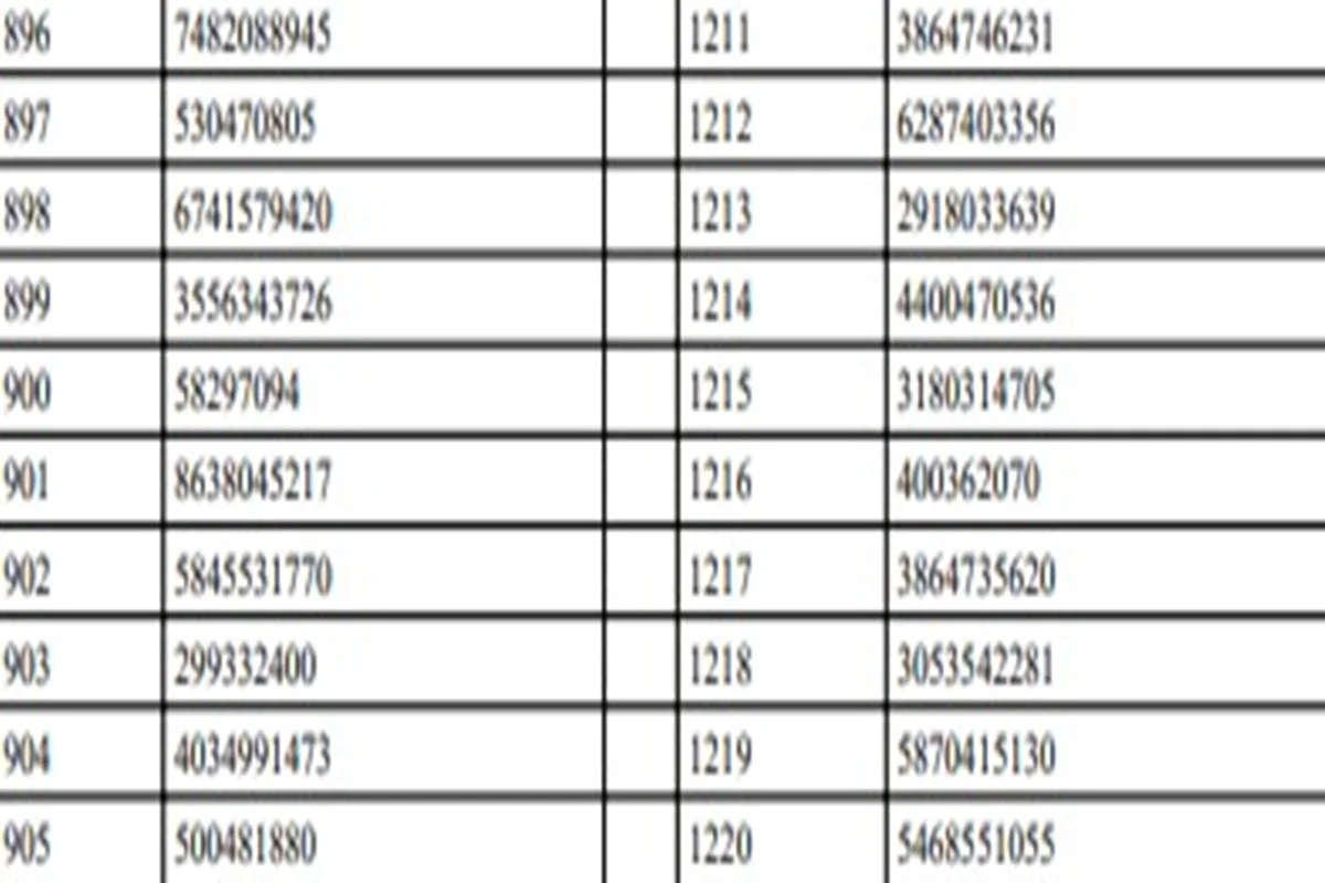
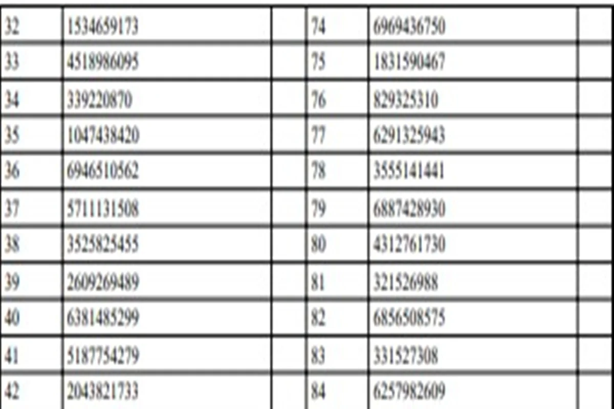
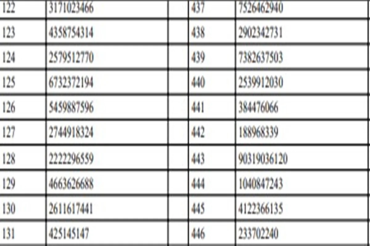
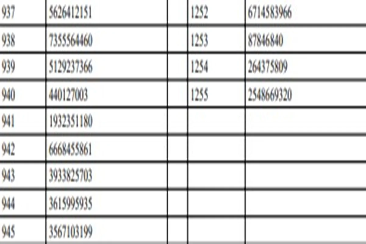
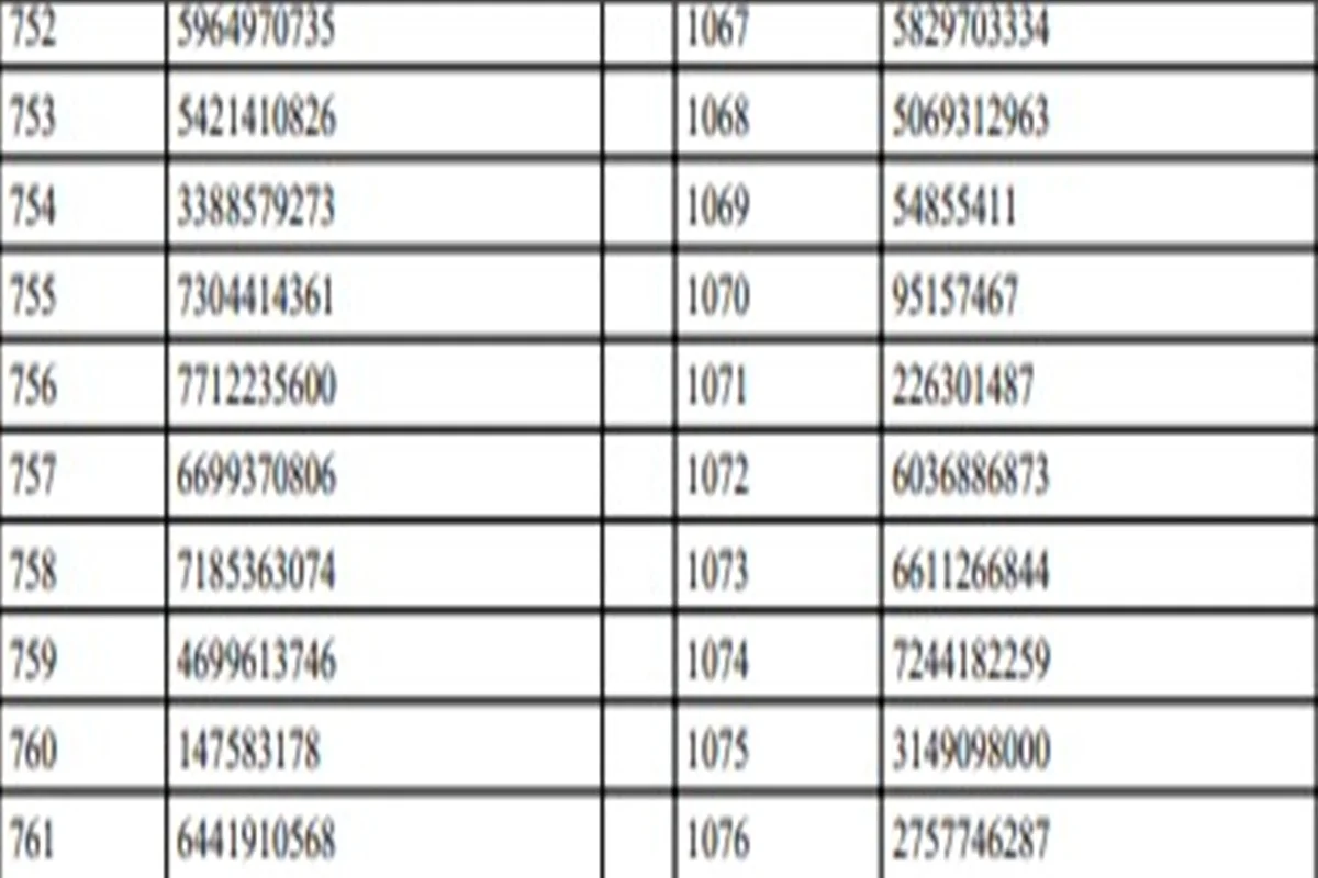
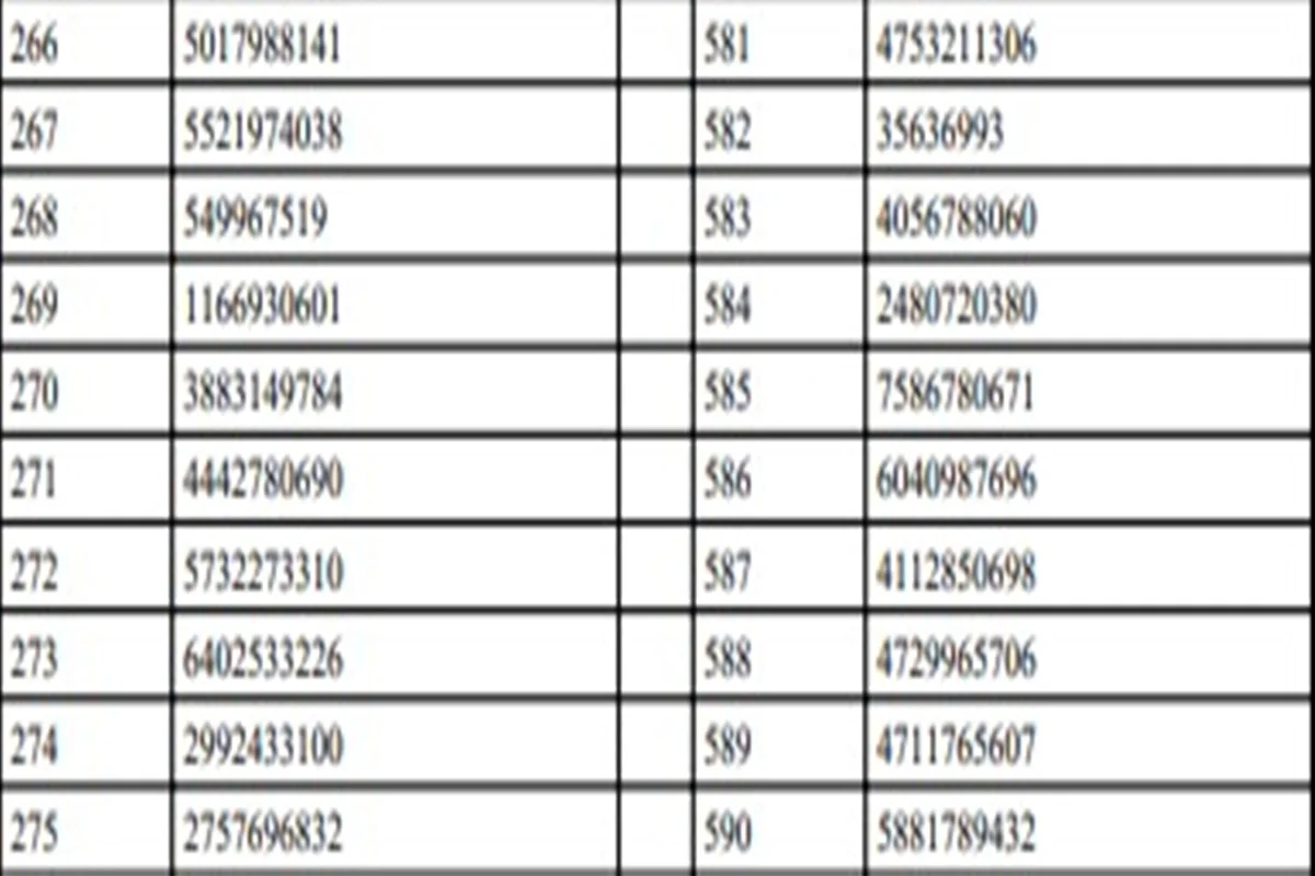
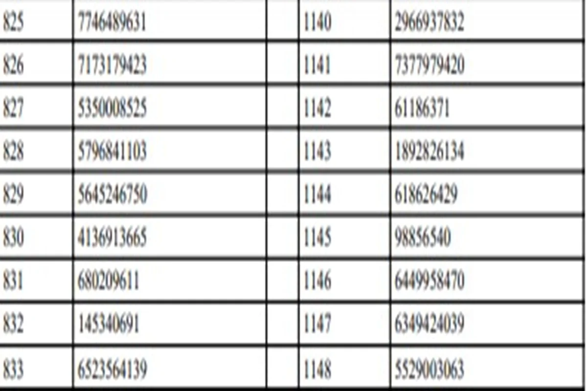
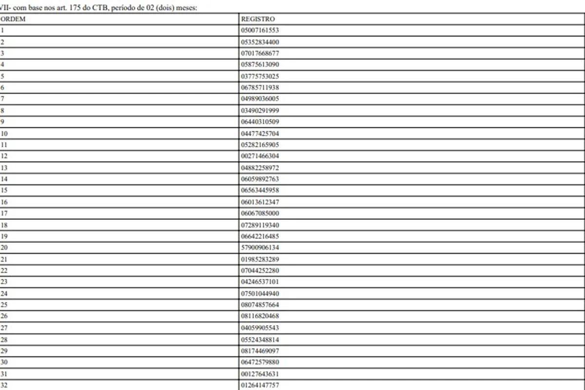
O Departamento de Trânsito do Distrito Federal (Detran-DF) publicou, nesta quarta-feira (12/11), a lista com o número do registro de motoristas que estão proibidos de dirigir. A divulgação foi feita por meio da Instrução nº 1.505, de 7 de novembro de 2025, e inclui mais de 1.500 registros.
As suspensões variam de 2 meses a 2 anos e incluem infrações como dirigir sob influência de álcool ou drogas; dirigir acima da velocidade permitida; pilotar motocicleta sem capacete ou transportando criança menor de 10 anos e ultrapassagem perigosa.
Veja a lista:
38 imagens



Fechar modal.
1 de 38
Divulgação/DODF
2 de 38
Divulgação/DODF
3 de 38
Divulgação/DODF
4 de 38
Divulgação/DODF
5 de 38
Divulgação/DODF
6 de 38
Divulgação/DODF
7 de 38
Divulgação/DODF
8 de 38
Divulgação/DODF
9 de 38
Divulgação/DODF
10 de 38
Divulgação/DODF
11 de 38
Divulgação/DODF
12 de 38
Divulgação/DODF
13 de 38
Divulgação/DODF
14 de 38
Divulgação/DODF
15 de 38
Divulgação/DODF
16 de 38
Divulgação/DODF
17 de 38
Divulgação/DODF
18 de 38
Divulgação/DODF
19 de 38
Divulgação/DODF
20 de 38
Divulgação/DODF
21 de 38
Divulgação/DODF
22 de 38
Divulgação/DODF
23 de 38
Divulgação/DODF
24 de 38
Divulgação/DODF
25 de 38
Divulgação/DODF
26 de 38
Divulgação/DODF
27 de 38
Divulgação/DODF
28 de 38
Divulgação/DODF
29 de 38
Divulgação/DODF
30 de 38
Divulgação/DODF
31 de 38
Divulgação/DODF
32 de 38
Divulgação/DODF
33 de 38
Divulgação/DODF
34 de 38
Divulgação/DODF
35 de 38
Divulgação/DODF
36 de 38
Divulgação/DODF
37 de 38
Divulgação/DODF
38 de 38
Divulgação/DODF
Segundo o Detran-DF, a publicação torna pública a aplicação da penalidade de suspensão do direito de dirigir aos infratores listados. A divulgação da lista ocorre após esgotados todos os meios de defesa na esfera administrativa que ensejou a suspensão da CNH, tendo sido assegurados a ampla defesa, o contraditório e o devido processo legal.
O Metrópoles apurou que os motoristas com acúmulo de infrações foram procurados pelo Detran por meio de correspondência entre junho e julho deste ano.
Em nota, o Detran-DF informou que o processo administrativo não impede que condutor responda também na esfera criminal. “Caso o condutor que esteja com o direito de dirigir suspenso seja flagrado dirigindo, além da penalidade de multa (R$ 880,41), ele responde ao processo de cassação da CNH. Nesse caso, só poderá dirigir após dois anos, além de ser obrigatória a realização de todo o processo de habilitação novamente”, informou.

